President Trump and his team had said a wide array of practices would go into their calculations for reciprocal tariffs announced this week, ranging from existing duties and currency manipulation to value-added taxes and agricultural constraints.
But once the numbers were released Wednesday afternoon, it quickly became clear that how they came up with the differing rates for 185 different nations was actually much simpler.
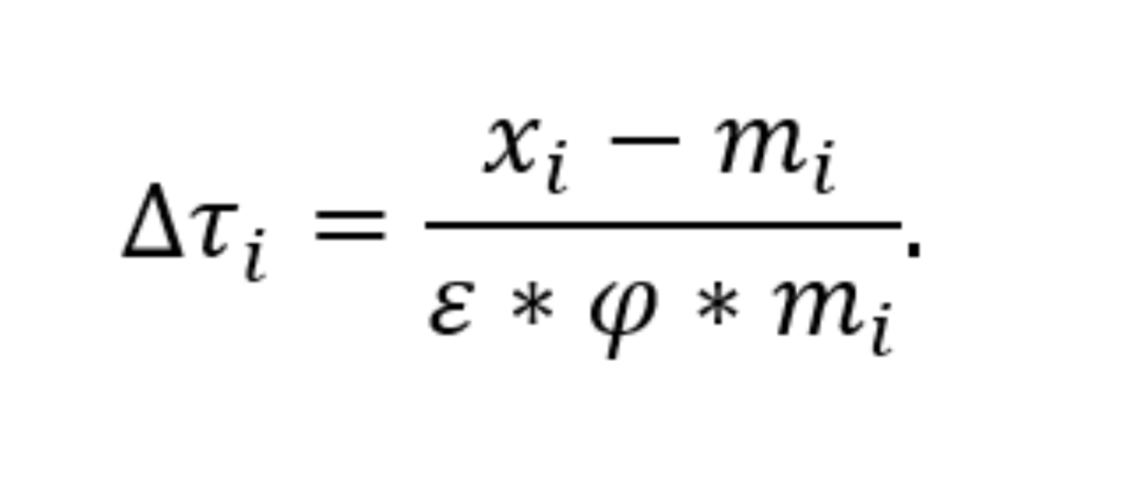
In a statement published Wednesday night, Trump’s trade representative explained that methodology for tariffs was a formula that — at its core — calculated a ratio based on any given country’s trade surplus with the US. The data came from import and export figures published by the US Census Bureau for 2024.
The formula shown below uses a country’s trade surplus as the numerator — with “x” representing total exports for a given nation and “m” representing total imports.
That was then divided by total exports. In the below formula “ε” represents price elasticity for import demand and was set at 4. Meanwhile, “φ” represents the elasticity of import prices and was set to 0.25 — effectively canceling each other out.
Trump touted that result on Wednesday at the White House and then divided it by two to produce the reciprocal tariff rate that will be levied on countries on April 9.
Trump termed the 50% discount as a “kind reciprocal” policy.
Some countries have trade surpluses with the US and — using the formula above — would come out with a negative rate.
But Trump didn’t announce any tariff lowering on Wednesday; instead he also announced a 10% baseline tariff on other nations that aren’t subject to additional duties from the formula.
All told, the tariffs Trump announced Wednesday represent historic duties that Evercore ISI calculates will push the new weighted-average tariff rate imposed by the US to 29% once they are in force next week — the highest in more than 100 years.
It all amounted to a dramatic move that, if it holds, would reorient the global trading system and represents the climax of Trump’s decades-long focus on trade deficits, which he has long said are a measure of America being “ripped off.”
The USTR statement Wednesday night also noted that finding exact reciprocity “is complex, if not impossible,” but added that the combined effects “can be proxied by computing the tariff level consistent with driving bilateral trade deficits to zero.”

